인천 작전 한라비발디 분양 청약 공급가 평면도
사람, 자연, 기술이 조화를 이룬 브랜드 한라 비발디(HALLA VIVALDI)가 인천 작전에 상륙했습니다. 곧 있을 청약 소식 등 다양한 정보를 정리해보았습니다. 특히 이번 공급은 인천 작전에 다양한 호재를 갖고 있는 부분이므로 많은 사람들의 관심이 쏠리고 있음을 참고 바랍니다.

청약개요
| 대지위치 |
인천광역시 계양구 작전동 286-2번지
|
| 사업규모 |
지하 2층 ~ 지상 29층 4개동 APT 340세대 및 근린생활시설
|
| 대지면적 | 13,004.4704㎡ |
| 건축면적 | 2,856.3960㎡ |
| 연 면 적 | 56,997.6794㎡ |
| 용 적 률 | 2.9988 |
| 건 폐 율 | 0.2196 |
입지환경
- 서울을 빠르게 누리는 쾌속 교통
- 작전역, 아나지로 부평 IC, 수도권제1순환고속도로 교통호재
- 반경 1Km 원스톱 라이프
- 홈플러스, 이마트, CGV 등 다양한 생활편리시설
- 학교와 공원
- 도보거리 화전초교, 학원가
- 작전공원
- 계양의 개발호재 수혜단지
- 계양신도시 개발 호재, 계양 테크노밸리 10만 일자리
- 서울 2호선 연장(작전역)


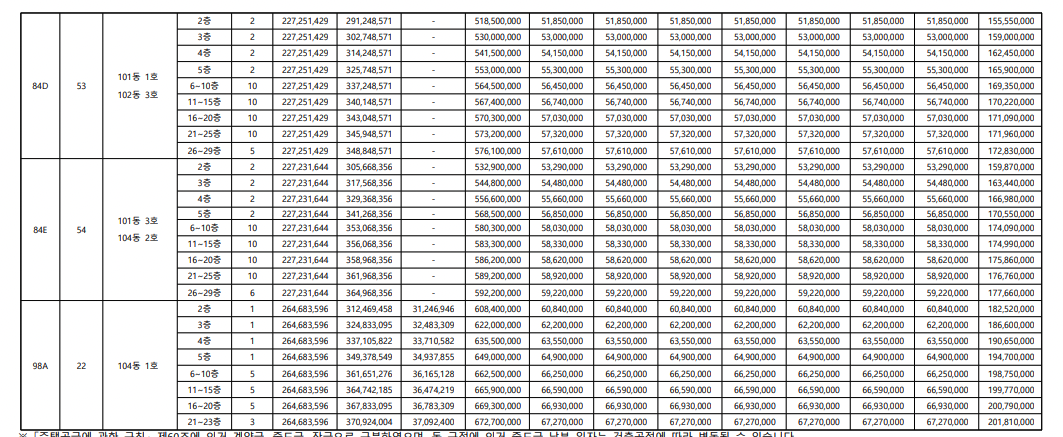
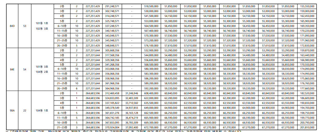
분양가
분양가
- 요약 버전
| 주택형 | 공급금액(최고가 기준) |
| 084.9601A | 59,990 |
| 084.9760B | 58,590 |
| 084.9887C | 59,510 |
| 084.9961D | 57,610 |
| 084.9887E | 59,220 |
| 098.9964A | 67,270 |
- 자세한 버전


평면도






청약 일정

청약 방법


공식 공고문
- 공식 청약 공고문 전문은 첨부파일로 대체합니다.
인천작전한라비발비-전문.pdf
1.47MB

이 포스팅은 2022년 분양 공식 홈페이지를 바탕으로 보기 쉽게 정리한 글이므로 참고 바랍니다. 업데이트가 필요한 정보에 대해서는 댓글 주시면 바로잡도록 하겠습니다.
'재테크 > 부동산' 카테고리의 다른 글
| 경산 아이파크 2차 분양가 청약 모델하우스 매매 (0) | 2022.10.10 |
|---|---|
| 영종국제도시 제일풍경채 디오션 분양가 청약 공급가 (0) | 2022.10.10 |
| 화성 조암 스위트엠 청약 분양공고 평면도 청약일정 (0) | 2022.09.29 |
| 수원 힐스테이트 푸르지오 청약 분양가 추가모집 (0) | 2022.09.24 |
| 수서역세권 행복주택 청약 A1블록 추가 모집 공고 (0) | 2022.09.18 |
댓글